Sat-Digest Site Admin

Зарегистрирован: 02.04.2004 Сообщения: 5123 Откуда: Европа
|
Добавлено: Ср Май 12, 2004 11:06 Заголовок сообщения: Информация о спутниках Экспресс AM 11 и AM 22 |
|
|
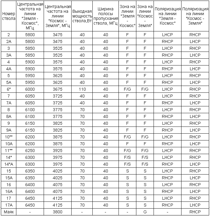
Экспресс AM 11, 96.5E, C-band
(спасибо Hump!)
Луч G - глобальный - вся территория в зоне видимости спутника
Луч F - фиксированый
* - 10 транспондеров (40W), ** - 9 транспондеров (70W), *** - 1 транспондер (110W)
Луч S - перенацеливаемый (показан пример)
Частотный план
*, ** - стволы переключаются между зонами обслуживания независимо по приему и независимо по передаче.
Схема подключения стволов к антеннам
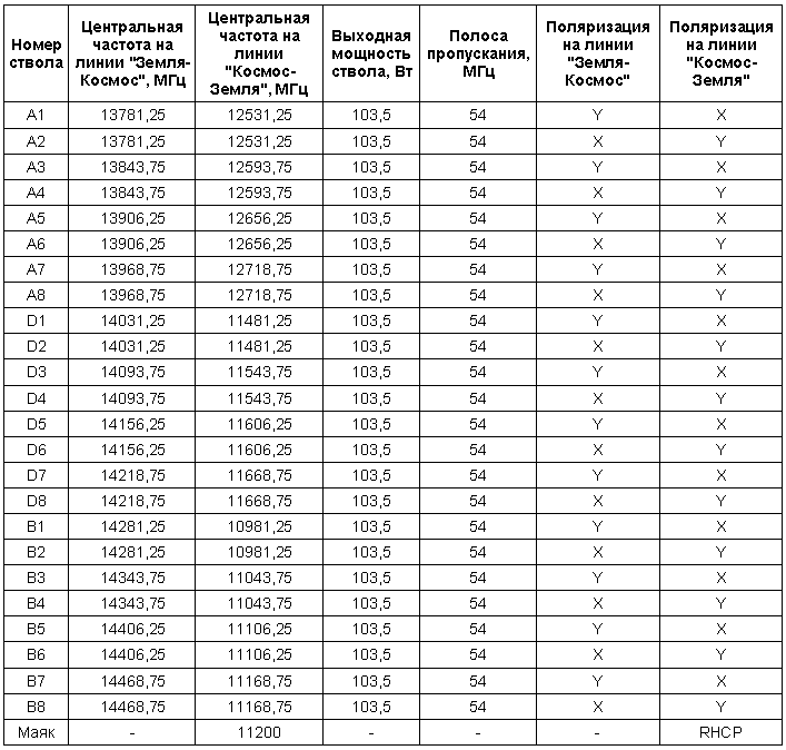
Экспресс AM 11, 96.5E, Ku-band
Расчетная зона покрытия после перенацеливания антенны Ku-диапазона в точку 56N, 101E. Расчетная ЭИИМ в точке прицеливания - 51 дБВт.
Увеличенная версия зоны покрытия - http://www.sat-digest.com/maps/am11kubig.gif
Частотный план
Схема подключения стволов к антеннам

Последний раз редактировалось: Sat-Digest (Пт Авг 12, 2005 11:32), всего редактировалось 13 раз(а) |
|
Sat-Digest Site Admin

Зарегистрирован: 02.04.2004 Сообщения: 5123 Откуда: Европа
|
Добавлено: Вт Июл 06, 2004 17:39 Заголовок сообщения: Экспресс AM 22, 53E |
|
|
Экспресс AM 22, 53E
(спасибо Hump!)
Широкая европейская зона
Европейская зона
Перенацеливаемый луч 1
Перенацеливаемый луч 2
Частотный план
Схема подключения стволов к антеннам
 |
|